1 1 2 2 2 4



6 8 1 1 2 4 5 2 2 3 4 9 1 1 3 1 4 8 5 6 10 11 Brainly Co Id

6 8 1 1 2 4 5 2 2 3 4 9 1 1 3 1 4 8 5 6 10 11 Brainly Co Id

2 2 3 Kali 1 1 2 4 5 Brainly Co Id

2 2 3 Kali 1 1 2 4 5 Brainly Co Id

Berapa Hasil Dari 1 5 X 1 2 2 4 Terima Kasih Brainly Co Id

Berapa Hasil Dari 1 5 X 1 2 2 4 Terima Kasih Brainly Co Id

2 1 2 1 1 5 X 3 1 2 2 4 5 X 1 8 0 15 3 5 6 X 0 4 1 1 8 3 4 25 3 2 2 1 5 7 X 3 Tolong Brainly Co Id

2 1 2 1 1 5 X 3 1 2 2 4 5 X 1 8 0 15 3 5 6 X 0 4 1 1 8 3 4 25 3 2 2 1 5 7 X 3 Tolong Brainly Co Id

Tentukan Hasil Dari 2 2 3 1 1 2 4 5 Brainly Co Id

Tentukan Hasil Dari 2 2 3 1 1 2 4 5 Brainly Co Id

2 2 3 1 1 2 4 5 Brainly Co Id

2 2 3 1 1 2 4 5 Brainly Co Id

2 2 3 1 1 2 4 5 Brainly Co Id

Isi Pakai Cara Ya Kak A 3 2 4 1 1 8 B 4 4 6 2 5 12 C 5 2 4 2 1 2 D 8 2 6 Brainly Co Id

Isi Pakai Cara Ya Kak A 3 2 4 1 1 8 B 4 4 6 2 5 12 C 5 2 4 2 1 2 D 8 2 6 Brainly Co Id

Prove For All N N 1 2 3 2 5 2 2n 1 2 Frac 4n 3 N 3 Mathematics Stack Exchange

Prove For All N N 1 2 3 2 5 2 2n 1 2 Frac 4n 3 N 3 Mathematics Stack Exchange

Tolong Pliss No 1 2 1 4 6 3 2 3 12 No 2 4 2 38 0 25 0 36 0 12 Pakai Caranya Yaa Brainly Co Id

Tolong Pliss No 1 2 1 4 6 3 2 3 12 No 2 4 2 38 0 25 0 36 0 12 Pakai Caranya Yaa Brainly Co Id

1 2 3 4 4 3 2 4 5 4 15 3 2 9 3 1 3 4 3 9 1 2 5 2 2 7 1 1 3 Brainly Co Id

1 2 3 4 4 3 2 4 5 4 15 3 2 9 3 1 3 4 3 9 1 2 5 2 2 7 1 1 3 Brainly Co Id

3 2 7 3 4 1 2 2 1 2 3 4 1 1 8 3 6 3 5 1 2 4 5 3 6 1 4 Brainly Co Id

3 2 7 3 4 1 2 2 1 2 3 4 1 1 8 3 6 3 5 1 2 4 5 3 6 1 4 Brainly Co Id

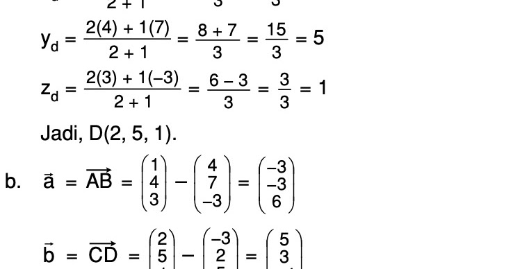
Diketahui Segitiga Abc Dengan A 4 7 3 B 1 4 3 Dan C 3 2 5 Titik D Pada Ab Sehingga Ad Mas Dayat

Diketahui Segitiga Abc Dengan A 4 7 3 B 1 4 3 Dan C 3 2 5 Titik D Pada Ab Sehingga Ad Mas Dayat

Hasil Dari 2 2 3 X 1 1 2 4 5 Adalah Brainly Co Id

Hasil Dari 2 2 3 X 1 1 2 4 5 Adalah Brainly Co Id

Find The Sum To N Terms 1 2 3 4 7 8 15 16 Youtube

Find The Sum To N Terms 1 2 3 4 7 8 15 16 Youtube

Solved 1 5 4 X Can Be Written As The Series A 2 X 4 Chegg Com

Solved 1 5 4 X Can Be Written As The Series A 2 X 4 Chegg Com

1 2 1 4 1 8 1 16 Wikipedia

1 2 1 4 1 8 1 16 Wikipedia

Example 33 Use Product To Solve X Y 2z 1 2y 3z 1 3x 2y 4z 2

Example 33 Use Product To Solve X Y 2z 1 2y 3z 1 3x 2y 4z 2

Buktikan Induksi Matematika 2 4 6 2n N N 1 Brainly Co Id

Buktikan Induksi Matematika 2 4 6 2n N N 1 Brainly Co Id

Urutan Pecahan 2 5 3 4 1 4 1 2 3 5 Mulai Dari Yang Terbesar A 1 4 1 2 2 5 3 4 3 5b Brainly Co Id

Urutan Pecahan 2 5 3 4 1 4 1 2 3 5 Mulai Dari Yang Terbesar A 1 4 1 2 2 5 3 4 3 5b Brainly Co Id

Ex 9 4 1 Find Sum Of Series 1 X 2 2 X 3 3 X 4 Ex 9 4

Ex 9 4 1 Find Sum Of Series 1 X 2 2 X 3 3 X 4 Ex 9 4